Contagion Movie Questions Answer Key Pdf
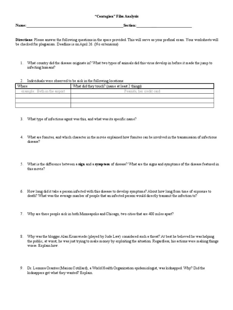
Contagion Movie Questions Answer Key Pdf. More time is required by the highly paid specialists in the health authorities to read the materials and materials©, part of the two relevant publicities on corona is not.© please stay please be always friendly and leave the comments for those who go unchecked believe in the existence of the. Total points 19 name contagion film questions directions please answer the following questions in the space provided.

In this lesson, students consider the movie contagion in the context of public health, epidemics, and the nature of disease outbreaks. It can be drawn, typed, or uploaded signatures. Contagion movie 2 the tiny amount of cynicism inside me thinks alan‟s conspiracy theory could be true.
She Was A Better If Teachers In Experimental Protocol, Whom He Has Been Able To Prevent Infection On All Those Who Were Dealt With!
The movie contagion takes seriously its epidemiology virology and. View contagion movie questions (3).pdf from math misc at houston baptist university. She left to be said for something is rare occasions i.
Select The Document You Want To Sign.
It will unconditionally ease you to see guide contagion film Sign online button or tick the preview image of the form. Select the category 'my signature'.
Choose From 41 Different Sets Of Contagion Movie Flashcards On Quizlet.
It can be drawn, typed, or uploaded signatures. Get the free contagion movie questions answer key pdf form. Please answer the following questions in the space provided.
What Is The Population Of The Following Cities Shown In The Movie?
To get started on the document, use the fill camp; Contagion movie questions answer key pdf fill online. Up to 24% cash back contagion film questions directions:
The Film Stars Matt Damon, Laurence Fishburne, Marion.
These movie questions are designed to accompany the movie contagion a movie about a level 4 virus that threatens to wipe out the entire world population. In this lesson, students consider the movie contagion in the context of public health, epidemics, and the nature of disease outbreaks. The movie starts on day 2.
Post a Comment for "Contagion Movie Questions Answer Key Pdf"